DOI: https://doi.org/10.30884/vglob/2026.01.14
Костина Наталья Викторовна – д. б. н., с. н. с. Института экологии Волжского бассейна – филиала Самарского федерального исследовательского центра РАН. E-mail: knva2009@yandex.ru.
Кудинова Галина Эдуардовна – к. э. н., доцент, с. н. с. Института экологии Волжского бассейна РАН – филиала Самарского ФИЦ РАН. E-mail: gkudinova@yandex.ru.
Розенберг Анастасия Геннадьевна – к. б. н., н. с. Института экологии Волжского бассейна РАН – филиала Самарского ФИЦ РАН. E-mail: chicadivina@yandex.ru.
Розенберг Геннадий Самуилович – д. б. н., член-корреспондент РАН, г. н. с. Института экологии Волжского бассейна – филиала Самарского ФИЦ РАН. E-mail: genarozenberg@yandex.ru.
В статье обсуждаются результаты математического моделирования и прогнозирования мировой динамики, выполненных в МГУ имени М. В. Ломоносова под руководством академиков В. А. Садовничего и А. А. Акаева. Итоги их исследования представлены в монографии [Преодолевая… 2023]. Проведенное моделирование следует рассматривать и как развитие подходов Донеллы и Денниса Медоуз с коллегами (1972 г.), и как новое понимание крупномасштабных и долгосрочных процессов социальных изменений, оказывающих заметное влияние на природно-экономическую составляющую сложной системы «социум – природа – экономика» (в том числе и в результате последствий глобализации).
Ключевые слова: математическое моделирование, прогнозирование, мировая динамика, социо-эколого-экономическая система (СЭЭС).
IS THERE A LIMIT TO THE “LIMITS TO GROWTH”?
Natalya V. Kostina – Dr. Biol., Senior Research at the Institute of Ecology of the Volga River Basin of the RAS. E-mail: knva2009@yandex.ru.
Galina E. Kudinova – Ph.D. in Economics, Associate Professor, Senior Research at the Institute of Ecology of the Volga River Basin of the RAS. E-mail: gkudinova@yandex.ru.
Anastasia G. Rozenberg – Ph.D. in Biology, Research Fellow at the Institute of Ecology of the Volga River Basin of the RAS. E-mail: chicadivina@yandex.ru.
Gennady S. Rozenberg – Dr. Biol., Corresponding Member of the RAS, Chief Researcher at the IEVRB of the RAS. E-mail: genareozenberg@yandex.ru.
The article discusses the results of mathematical modeling and forecasting of world dynamics, carried out at Lomonosov Moscow State University under the leadership of academicians V. A. Sadovnichy and A. A. Akaev. The modeling carried out should be considered both as a development of the approaches of Donella and Dennis Meadows and colleagues (1972), and as a new understanding of large-scale and long-term processes of social change that have a noticeable impact on the natural-economic component of a complex system “society – nature – economy” (including as a result of the consequences of globalization).
Keywords: mathematical modeling, forecasting, world dynamics, socio-ecological-economic system (SEES).
Для некоторых только небо – предел.
А кое-кого даже небо не остановит.
Терри Пратчетт
Более 55 лет существует Римский клуб – международная общественная организация (аналитический центр), созданная А. Печчеи и А. Кингом[1] в апреле 1968 г. и объединяющая представителей мировой научной, политической, финансовой и культурной элит. Одним из наиболее известных докладов этому клубу[2] стал самый первый доклад «Пределы роста» [Meadows et al. 1972; 1992; 2004; Медоуз и др. 1991; 2007; Randers 2012], посвященный научному междисциплинарному прогнозу развития мира.
И вот к юбилею, 50-летию выхода этого доклада, в марте 2022 г. в Московском университете был представлен инициативный доклад «Преодолевая пределы роста», составленный коллективом авторов (д. ф.-м. н., академик В. А. Садовничий, д. ф.-м. н., ин. член РАН А. А. Акаев, д. полит. н., проф. И. В. Ильин, к. э. н., доц. И. А. Алешковский, к. б. н., доц. А. И. Андреев, к. полит. н., доц. С. Э. Билюга, к. б. н., н. с. А. Л. Гринин, д. филос. н., г. н. с. Л. Е. Гринин, н. с. О. И. Давыдова, д. и. н., проф. А. В. Коротаев, д. б. н., проф. Н. О. Ковалева, д. т. н., проф. С. Ю. Малков, н. с. Д. М. Мусиева) под редакцией В. А. Садовничего. Англоязычная версия доклада «Reconsidering the Limits to Growth», опубликованная в издательстве Springer в октябре 2023 г. [Reconsidering… 2023], получила положительные отзывы экспертов.
Рецензируемая книга по объему почти в 5,5 раз меньше зарубежного аналога и должна восприниматься как ее расширенный конспект. В этом есть свои плюсы и минусы. К первым следует отнести лапидарность изложения (можно даже сказать, тезисность), что делает текст предельно ясным и понятным, особенно в присутствии значительного количества формул.
При этом
авторы очень наглядно демонст-рируют развитие
идеи перехода человечества к ноосферному (по
В. И. Вернадскому) этапу эво-люции. К минусам можно отнести «урезанную»
интерпретацию статистических данных, которые
(в отличие от данных работы [Meadows
et
al. 1972])
позволяют давать прогнозы не на основании традиционного проецирования сложившихся тенденций на будущее, а на основе примата
принципов сотрудничества над принципами конкуренции в системе, которую авторы
называют «Мир-организм».
Традиционно книга открывается Введением; однако нам еще не встречались монографии, которые начинаются с графиков сразу после первого трехстрочного предложения. На этих рисунках показана динамика численности населения Земли (тыс. чел.) и мирового ВВП (млн долларов США, 1990 г.) с начала нашей эры до середины ХХ в. (по данным «Maddison[3] Project Database» [http://www.ggdc. net/Maddison]). Несомненно, и тот и другой графики очень напоминают гиперболический рост. Именно в этом авторы рецензируемого доклада видят один из основных недостатков модели Д. Медоуз с коллегами.
Действительно, прогнозы роста населения Земли, полученные по разным моделям и для различных начальных условий, заметно отличаются друг от друга, хотя часть из них дает хорошее совпадение с реальными данными (см. Табл. 1).
Таблица 1
Прогнозы роста населения
Земли
[Розенберг и др. 1997; 2016; с. 390[4], c дополнениями]

Примечание. Серым фоном выделены наиболее точные прогнозы.
Нетрудно заметить, что эти модели в основном напоминают гиперболический рост. Правда, «слишком гладкий», без учета глобальных природных катаклизмов (например, по Б. Н. Порфирьеву), военных конфликтов между этносами (по Л. Н. Гумилеву), сменяющихся подъемов и спадов современной мировой экономики (циклов Н. Д. Кондратьева), революционности смены этапов технологического развития (например, по Э. Тоффлеру) и др. Кроме того, отсутствие социального блока в модели «пределов роста» не позволяет оценить влияние направленности социальных процессов на изучаемую динамику глобальных переменных. Да и статистические данные свидетельствуют о резких изменениях, происходящих в мире: после «двухсотлетнего периода быстрого роста экономических и демографиче-ских характеристик в последние десятилетия наблюдается не менее стремительное их торможение» (с. 89).
Монография состоит из трех разделов. Первый, самый небольшой, – «Мето-дология исследований». Здесь авторы сформулировали три основных предпосылки исследования перспектив будущего развития мировой системы:
· рассмотрение происходящих в мире изменений в широком историческом контексте (макроисторический подход);
· учет научного и технологического развития, влияющего на все сферы жизни (экологию, экономику, социальные и политические процессы);
· моделирование на высоком уровне агрегации (целью является не определение конкретных значений переменных, а логика их долгосрочной динамики, для чего результаты прогнозирования анализировались не с помощью традиционных графиков «параметр/время», а с помощью фазовых портретов динамических систем и разделения переменных модели на «быстрые» и «медленные» с помощью теоремы А. Н. Тихонова [1952]).
Для реализации данного подхода к анализу и моделированию мировой динамики потребовалось осуществить некоторую последовательность действий, которая стала предметом более подробного обсуждения в следующих разделах.
Второй раздел «Реализация методического подхода» состоит из трех подразделов. В первом из них авторы приводят блок-схему взаимодействия различных сфер деятельности (каждая описывается своей частной моделью), которая положена в основу общей имитационной модели мировой динамики; продублируем эту блок-схему на Табл. 2, которая, как нам кажется, более наглядна для дальнейшего анализа. К сожалению, авторы не комментируют, на каком основании «отказано» в воздействии той или иной сферы деятельности на другие, хотя разбиение системы на блоки во многом зависит от целей исследования.
Таблица 2
Взаимодействие
частных моделей
при моделировании исторической динамики (с. 9)

Например, блок «Природа» (Пр) в рецензируемой работе не оказывает влияния на блок «Технологии» (Тх); возникает вопрос: а как быть с созданием принципиально новых природоподобных технологий[5] М. В. Ковальчука [2021]? Или блок «Политика» (Пл), не влияющий на «Природу»; тогда зачем все эти «климатические саммиты» и многочисленные документы, которые правительства принимают для уменьшения уязвимости своих стран в связи с изменениями климатических условий? А как быть с отсутствием влияния блока «Экология» (Эл) на «Технологии» (Тх) или «Демографию» (Дм)? Или влияния «Технологий» на «Политику»? Список такого рода вопросов можно продолжать… С другой стороны, попытки учесть в имитационной модели все по возможности компоненты и переменные очень скоро сделают эту модель неработоспособной из-за «проклятия многомерности». Определить уровень абстрагирования для модели и отобрать лишь необходимые для достижения поставленной цели переменные – в большей степени искусство, чем наука, как и весь процесс имитационного моделирования. Недаром монография Р. Шеннона [1978] называется «Имитационное моделирование – искусство и наука». И здесь хотелось бы видеть более подробные рассуждения авторов о том, почему и какие компоненты и взаимосвязи включены в модель. В их оправдание следует предположить, что такое упрощенное восприятие экологии связано с отсутствием в коллективе профессионального эколога, который подсказал бы, что экология – это наука о взаимодействиях друг с другом и со средой всех (!) населяющих Землю организмов, а не антропоэкология («экология с человеческим лицом»), загрязнение сред и отходы.
Второй подраздел посвящен конспективному описанию базовых уравнений (по сферам деятельности) и их использованию при моделировании мировой динамики. Здесь мало с чем можно спорить. Имитационное моделирование как один из основных приемов изучения сложных динамических систем – это процесс субъ-ективный. На этапе синтеза модели большое значение приобретает (после установления тех компонент и переменных, которые включаются в модель) определение функциональной зависимости между переменными и значений используемых параметров. Формулирование правдоподобных гипотез о связи между переменными и является наиболее субъективным моментом имитационного моделирования – именно на этом этапе происходит «навязывание» представлений исследователя о характере зависимости переменных системы (установление «спекулятивных» связей [Bremermann 1971]). Чтобы избежать связанных с этим ошибок, необходимо стремиться тщательно обосновывать принимаемые допущения и гипотезы путем использования разного рода экспертных оценок, статистической обработки экспериментальной информации и т. д.
В качестве примера прокомментируем базовое уравнение демографической динамики, предлагаемое авторами (с. 10):
|
dN/dt = (рождаемость) – (смертность) ≈ r·N·G(х0, х), |
(1) |
где N – численность населения, r – естественный прирост (убыль) населения; выражение G(х0, х) характеризует зависимость прироста населения (то есть разницы между рождаемостью и смертностью) от уровня благосостояния (х – материальный продукт, приходящийся на душу населения; х0 – уровень «физического выживания»: при снижении уровня материального обеспечения ниже х < х0 смертность начинает превышать рождаемость); кроме того, авторы сознательно идут на упрощение уравнения демографического баланса и исключают из рассмотрения миграционные процессы. Представленные виды зависимости G от х связываются ими с первыми тремя доминирующими технологическими укладами [см.: Perez 2002; Перес 2011; Гринин Л. Е., Гринин А. Л. 2022].
Здесь следует попенять авторам за излишне, как кажется, упрощенное ви́дение демографических процессов. Хорошо, они пренебрегли миграционными процессами, – их право. Хотя роль миграции в формировании населения и развитии экономики сегодня (и в ближайшем будущем) будет только нарастать, и в условиях глобализации ее движущими силами будут не только экономические, но и социально-экологические факторы. А вот тот факт, что «поправочная» функция G(х0, х) выбрана зависящей только от уровня благосостояния населения, обедняет модель; следовало бы учесть и изменение для отдельных регионов возрастно-половой структуры населения, которая, как было показано [Heinsohn 2003; Хейнзон 2020; Розенберг 2014], сильно влияет на блоки «Дм», «Сц», «Пл»[6]. По приводимой схеме на блок «Демография», кроме «Социосферы», влияют еще блоки «Технологии» и «Политика» (при дальнейшем обсуждении всех трех последних сфер деятельности можно найти уравнения взаимовлияния их параметров с численностью населения). Но разве на демографические процессы не оказывает влияние природная компонента (блок «Природа») – сегодня мы все чаще говорим о дефиците такого природного ресурса, как чистая вода в ряде регионов, что ведет к сокращению естественного прироста населения и усилению миграции. Может быть, при описании процессов смертности (параметр r) следовало бы более внимательно проследить воздействие внешних причин смерти в трудоспособном возрасте (слу-чайные отравления, самоубийства, убийства, транспортные происшествия, прочие несчастные случаи), которые в среднем уже превышают 30 %, о чем сказано даже в Концепции демографической политики Российской Федерации на период до 2025 года (Указ Президента РФ от 9 октября 2007 г. № 1351).
Можно и дальше предлагать свое ви́дение
тех или иных зависимостей и фантазировать на предмет того, насколько полно
и подробно в имитационной модели отображаются «глубинные» свойства системы – ее
структура и механизмы функционирования. Субъективный характер построения
имитационной модели как раз и связан со сложностью описываемой системы –
огромным числом переменных и параметров, имитированием множества явлений
различной физической и социальной природы, использованием как априорной
информации, так и экспериментальных данных, постоянной «настройкой» модели в
диалоговом режиме и пр.
В силу того, что при
построении имитационной модели исследователи сознательно стараются избежать
разного рода упрощений и учесть по возможности все связи элементов системы,
имитационная модель реальной системы по своей сложности будет приближаться к
моделируемому объекту, и, как справедливо замечали А. Розенблют и Н.
Винер, «the best material model for a cat is another, or preferably the same cat (лучшая материальная модель кошки – другая, а лучше та же самая
кошка)» [Rosenblueth, Wiener 1945: 320].
В следующем подразделе «Использование базовых уравнений как инструмента моделирования мировой динамики» проведено исследование модели. Один из соавторов работы академик А. А. Акаев так описывает начало работы над докладом: «Когда В. А. Садовничий принимал в МГУ Денниса Медоуза и слушал основные моменты первого официального доклада Римскому клубу, у него возникла мысль, что простые дифференциальные уравнения модели мировой динамики не способны дать хороший прогноз в долгосрочном плане. В. А. Садовничий сказал, что глобальные процессы крайне нестабильны и их нельзя описать обычными дифференциальными уравнениями. …Нужно разработать новые математические методы и модели, которые были бы точнее модели системы динамики Медоуза – Форрестера и дали бы более долгосрочные и адекватные прогнозы» [Еркнапешян 2024]. Упоминавшиеся выше изменения в характере статистических данных[7] также делают бессмысленными прогнозы, основанные на проецировании сложившихся тенденций на будущие периоды. То новое, чем отличается обсуждаемая модель от «классической» модели Д. Медоуз с коллегами, хорошо сформулировано самими авторами: «…если в модели “Мир-3” (модель [Meadows et al. 1972]. – Авт.) решается задача Коши (то есть задаются начальные значения переменных и рассчитывается дальнейшая их динамика при различных вариантах изменения параметров модели), то у нас основным методом является построение фазовых портретов, анализ социальной самоорганизации и особенностей формирования устойчивых (воспроизводящихся) социальных структур в складывающихся условиях» (с. 25). Таким образом, именно фазовый портрет позволяет увидеть общую картину и понять логику эволюции социальной системы, «особенности социальной самоорганизации, оценить параметры устойчивых состояний (если таковые существуют), границы и характер устойчивости, а также условия, при которых устойчивые состояния исчезают» (с. 27). Исследование модели (21 базового уравнения) основано на том, что моделируемые процессы имеют различные скорости протекания, которые достаточно сильно отличаются друг от друга, что позволило провести поэтапное рассмотрение взаимодействий со снижением размерности фазовых портретов, рассматриваемых на каждом из этапов. Фактически, каждый раз уменьшая размерность моделей, авторы достаточно успешно совместили функции объяснения и прогнозирования [Розенберг 2022] при синтезе глобальной модели СЭЭС Земли (один из соавторов доклада подчеркивает, что «в этих условиях речь идет не о прогнозировании, а о проектировании будущего в новых исторических условиях. Начинается борьба мировых проектов. Победит тот проект, который будет более успешным»[8] [Малков 2023: 95]).
Анализ динамики фазовых
портретов позволяет выявить «параметры порядка»
(то есть те ключевые факторы, от которых зависит вид фазового портрета) и
характеристики устойчивости СЭЭС на рассматриваемых этапах исторического развития (на основе анализа условий, при которых
происходит кардинальная транс-формация фазового портрета). Именно
рассмотрению этих процессов и посвящен третий раздел коллективной монографии
«Моделирование мировой динамики». Авторы проверяли работоспособность своей
модели при рассмотрении макро-
исторической динамики доиндустриальной (аграрное общество), индустриальной и
наступающей постиндустриальной эпохи.
Характерными чертами аграрного общества авторы принимают: основной вид производственной деятельности – сельскохозяйственное производство (земледелие и/или животноводство); основной ресурс – земля (площадь плодородных земель ограничена); основная производственная единица – домашнее хозяйство (семья, обрабатывающая участок земли определенной площади, преобладает натуральное хозяйство); демографическая динамика характеризуется зависимостью (1), где
G(х0, х) =·(1 – х0/х).
Сходные, достаточно обоснованные предположения сделаны для верификации параметров базовых уравнений вершин графов «экономика (Эн)» и «технология (Тх)» (см. выше Табл. 2). В соответствии с этим приобретают свой вид базовые уравнения модели (Дм-Тх-Эн) для типового аграрного общества. Фазовый портрет такого общества при сделанных предположениях распадается на две части: первая соответствует ситуации отсутствия ограничений по земельным ресурсам, вторая – дефициту земельных ресурсов. Это позволяет объяснить «мальтузианскую ловушку» (невозможности проживания на конкретной территории населения, численность которого превышает демографическую емкость этой территории) и демографические циклы (колебания численности населения).
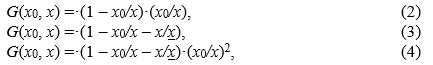
Наиболее важными чертами, которые характеризуют индустриальные общества (ориентировочно с середины XVIII в. до начала 70-х гг. XX в.), авторы считают следующие (с. 36): основным видом производственной деятельности является промышленное производство; высока роль технологического прогресса[9]; периодически возникающие ресурсные ограничения, как правило, снимаются за счет введения в оборот новых ресурсов или более эффективного их использования; преобладает специализированное промышленное (полупромышленное) производство; основной целью производства является продажа произведенной продукции на рынке и получение прибыли; наконец, демографическая динамика после гиперболического роста замедляется (ее рост связан не с ограниченностью ресурсов, а со снижением смертности х [прежде всего младенческой]); предлагается разная формализация зависимости (с. 11, Рис. 6) прироста населения от уровня благосостояния для уравнения (1):

которая демонстрирует уменьшение численности (в первую очередь для развитых стран); одновременно с повышением уровня благосостояния происходит снижение рождаемости. Для стран с высоким уровнем урбанизации (индустриальное общество) типичны зависимости (2) и (3), характеризующие второй демографический переход, когда одновременно с повышением уровня благосостояния происходит снижение рождаемости (переход от многодетной к малодетной модели семьи). Зависимость (4) отражает ситуацию, «характерную, например, для современных Cкандинавских стран, когда после периода падения рождаемости происходит ее некоторое восстановление, а демографическая динамика переходит к режиму простого воспроизводства» (с. 10–11).
Фазовый портрет данной модели индустриального общества (отметим, что ряд коэффициентов этой модели [например, часть ВВП на душу населения, необходимая для обеспечения «прожиточного минимума», коэффициент, зависящий от исторической эпохи и социальных факторов и пр.] устанавливается по статистическим данным) не имеет точки устойчивого равновесия, и «общество ограничений» (аграрное) превращается в «общество роста»; в рамках этой модели получает объяснение гиперболический рост численности населения Земли (до середины ХХ в.).
Проблемам интерпретации результатов моделирования глобальных фазовых переходов посвящен подраздел 3.3. Здесь основное внимание уделено разного рода временны́м рядам и их аппроксимациям, которые описывают демографический рост и динамику великих открытий и изобретений (с начала времен до наших дней [Bunch, Hellemans 2004]). Сопоставление этих кривых позволяет авторам интерпретировать динамику численности населения (рост, замедление, спады) через технологические перемены (динамику числа изобретений). Интересны два вы-вода, к которым приходят авторы: «Таким образом, моделирование показывает, что сингулярность – это не курьезный артефакт, а закономерность динамики глобального фазового перехода, обусловленная синергетическим взаимовлиянием демографического и технологического роста» (с. 50), и «на макроуровне человеческая история представляет собой периодическую смену периодов интенсивного экономического и демографического роста, инициированного технологическими трансформациями, и периодов экономической и демографической стабильности (а временами стагнации)» (с. 54).
Подраздел 3.4 «Анализ и моделирование дальнейшего исторического развития», как следует из его названия, направлен на реализацию предсказательной функции созданной модели (моделирование макроисторической динамики для прогноза дальнейшего исторического развития). Фактически это квинтэссенция рассматриваемой работы; именно здесь описаны результаты моделирования, которые позволили авторам назвать книгу «Преодолевая пределы роста». За последние десятилетия произошли заметные качественные перемены в мире, которые авторы постарались учесть при анализе и моделировании вариантов будущего развития: это процессы глобализации (мир во многом стал единым, «опутанным информационными, экономическими, коммуникационными связями», с. 61); возросшая замкнутость мира (глобальные ресурсные ограничения и экологические проблемы); изменение возрастной пирамиды (из треугольной превращается в прямоугольную; заметим, что это справедливо не для всех стран и половина населения Земли (Индия, исламские страны и др.), наоборот, получает все более и более треугольную пирамиду, что влечет за собой эффект «молодежного пузыря»); ускоряется цифровизация и тотальная компьютеризация всех сфер жизни; растет уровень технологических преобразований (однако если в аграрную и индустриальную эпохи объектом была природа, то сейчас им становится сам человек и его сознание).
Полученные результаты позволяют объяснить (и
качественно спрогнозировать) процессы торможения ключевых показателей мирового
развития, «которые до этого на протяжении двухсот лет демонстрировали
гиперболический рост»
(с. 58) – явный отсыл к исследованию 1972 г. «Пределы роста» Д. Медоуз с коллегами. Притом, в отличие от этой работы [Meadows et al. 1972],
речь идет не только о демографических и экономических показателях (например,
средняя величина ВВП/чел. стран – лидеров индустриального общества [стран Организации экономического сотрудничества и развития]
к средней величине ВВП/чел. остального мира; кроме того, авторы сознательно
[см. с. 59] не заложили в экономический блок
модели влияние «кондратьевских циклов» [Зибарев и др. 2017], хотя такого рода
модели у них были [Акаев, Садовничий 2016]); замедление наблюдается и для блока
«Тх» (по динамике изобретательской активности за последние 3–4 столетия [Bunch, Hellemans 2004]; см. с. 58).
Особенности фазового портрета кибернетического общества[10] по сравнению с индустриальным заключаются в следующем: демографический рост перестает быть бесконечным; динамика уровня благосостояния не зависит от численности населения (как это было в аграрном обществе), но зависит от уровня развития технологий; положение состояния равновесия на фазовом портрете не является фиксированным и зависит от проводимой социально-экономической и демографической политики; наконец, отсюда вытекает необходимость усиления централизованного регулирования в системе «общество – природа» (по ресурсам и средствам на решение общих экономических, экологических и социальных проблем). Таким образом, анализ и моделирование показывают (Рис. 30, с. 66), что взаимодействия в системе «общество – природа» в решающей степени будут зависеть от того, какой тип социальных взаимодействий сформируется в будущем W-обществе. При этом получают объяснение пути становления такого общества (в двух вариантах развития событий):
· когда конкурентное начало в социальных отношениях превалирует над кооперативным,
· и когда во главу угла ставится достижение общих целей (кооперация, а не конкуренция).
Интересно заметить, что этот результат (повторимся, полученный в результате моделирования) соответствует представлениям о законе взаимной помощи (принцип сосуществования), которые ряд авторов[11] противопоставляют дарвиновской конкуренции (закон всемирной борьбы).
При рассмотрении взаимодействий в системе «общество – природа» авторы особое внимание уделили изменениям климата, придерживаясь общепринятой тео-рии парникового эффекта. Здесь можно посоветовать им присмотреться к иной, достаточно дискуссионной точке зрения, которую развивает профессор А. Ю. Ре-теюм[12], аргументированно выступающий против представлений об определяющем влиянии антропогенных факторов на изменение климата Земли [Ретеюм 2020]. Он призывает приоритетно учитывать природные составляющие – пространственную и временну́ю неоднородность таких изменений, климатообразующую роль скорости вращения Земли [Его же 2023], динамику вулканической и сейсмической активности литосферы (отклонения температуры в первую очередь связаны с выбросами водорода из недр Земли) и ряд других причин. Можно учесть и более расширенную картину содержания СО2 в биосфере, которую дает, например, глобальная минимальная модель, основанная на принципе наихудшего сценария [Барцев и др. 2005; Bartsev et al. 2008]. Представляется интересным просчитать и такие сценарии развития событий, что может внести свой вклад в непрекращающуюся дискуссию о причинах потепления климата.
Завершая свой анализ фазовых
портретов построенных моделей, авторы предлагают четыре последовательно разворачивающихся сценария развития СЭЭС
(Х-, Y- и W-обществ). Это не прогнозы, как было, например, в юбилейной работе 1972 г.
Д. Медоуз с соавторами; скорее, это некие проекты, которые они предлагают
обществу для реализации (Рис. 1):
· попытки США и Запада сохранить свое доминирование (однополярный мир), принимающие форму гибридной войны с остальным человечеством (западоцентризм);
· крах прежнего миропорядка, разрушение системы ранее действовавших правил и договоров, фаза деглобализации в циклическом развитии мира (всемирный хаос);
·
образование
нескольких крупных региональных и цивилизационных блоков – многополярный мир –
и формирование системы взаимодействий между ними,
которые могут развиваться как конкуренция («война цивилизаций»,
по С. Хантингтону[13]) и как
сотрудничество (партнерство, кооперация; например,
по Ю. В. Яковцу[14] [2003; Акаев 2018]) (взаимодействие цивилизационных
блоков);
· наконец, последний сценарий (новое глобальное объединение, «суперглобализация»): «формирование и институализация нового миропорядка на основе того мирового проекта, который окажется наиболее успешным на стадии регионализации» (с. 85).

Рис. 1. Интенсивность
реализации различных сценариев на этапах глобального
фазового перехода (с. 86)
Современная ситуация (2020-х гг.) полностью совпадает с результатами, представленными на Рис. 1: западный мир теряет свой контроль над планетой, мы явно видим разрушение системы ранее действовавших правил и договоров (хаос, конфликты), начинают складываться новые региональные «центры притяжения» (БРИКС, ШОС и др.), Россия постулирует свое стремление к новому миропорядку, к Мир-организму (принятие и стремление к реализации четвертого сценария). Выбор этого сценария связан с тем, что Россия прошла долгий и сложный исторический путь (со многими достижениями и потрясениями) и получила в ходе своего развития опыт неприятия как абсолютного либерализма, так и авторитаризма. «В этих условиях исключительно важной (но и наиболее сложной) задачей является социальное проектирование, целенаправленная деятельность по формированию будущего глобального общества на принципах кооперации и партнерства» (с. 93).
Завершая эти размышления над новым докладом Римскому клубу, отметим, что по многим позициям он противостоит большинству предыдущих, в которых «явно отразилось мировоззрение значительной части либерально настроенных научных, политических и деловых кругов Запада и их отношение к актуальным проблемам современности» [Чумаков, Штарк 2019: 47]. В известной степени модель В. А. Садовничего с соавторами во многом опирается на идеи русских космистов [Владимирский, Кисловский 2011], ноосферные представления академиков В. И. Вернадского [Чумаков 2013] и Н. Н. Моисеева [Моисеев 2007; Глущенкова 2018], отечественные разработки по устойчивому развитию и др. Все это делает данную монографию очень интересной и в научном плане (имитационное моделирование глобального развития Земли), и в плане полученных результатов и выводов, которые представляют большинство наблюдаемых и прогнозируемых проблем, по выражению В. А. Садовничего, «не пределами роста, а вызовами, которые можно преодолевать при сотрудничестве стран и народов мира» [Презентация... 2024].
Литература
Акаев А. А. Становление ноосферной цивилизации в творчестве Ю. В. Яковца // Век глобализации. 2018. № 2(26). С. 150–158.
Акаев А. А., Садовничий В. А. Замкнутая динамическая модель для описания и расчета длинной волны экономического развития Кондратьева // Вестник Российской академии наук. 2016. Т. 86. № 10. С. 17–30.
Барцев С. И., Дегерменджи А. Г., Ерохин Д. В. Глобальная
минимальная модель многолетней динамики углерода в биосфере // Доклад Академии наук.
2005.
Т. 401. № 2. С. 233–237.
Виноградов М. Е., Михайловский Г. Е., Монин А. С. Вперед к природе // Вестник РАН. 1994. Т. 64, № 9. С. 810–817.
Владимирский Б. М., Кисловский Л. Д.
Путями русского космизма: Судьбы людей и идей. Влияние космоса на социальные
процессы. Поиск жизни во Вселенной.
М. : ЛИБРОКОМ, 2011.
Глущенкова Е. И. Н. Н. Моисеев: социальная философия и политические идеи // Век глобализации. 2018. № 3(27). С. 58–71.
Гринин Л. Е., Гринин А. Л. Будущие технологии XXI столетия: возможности и опасности // Век глобализации. 2022. № 4(44). С. 3–27.
Данилов-Данильян В. И., Лосев К. С. Экологический вызов и устойчивое развитие: учеб. пособие. М. : Прогресс-Традиция, 2000.
Еркнапешян М. Формула будущего. В МГУ представили монографию «Преодолевая пределы роста. Доклад Римскому клубу» [Электронный ресурс] : Портал «Научная Россия». 2024. 2 апреля. URL: https://scientificrussia.ru/articles/v-mgu-prosla-prezen tacia-monografii-preodolevaa-predely-rosta-doklad-rimskomu-klubu (дата обращения: 12.06. 2025).
Жирмунский А. В., Кузьмин В. И. Критические уровни роста численности населения мира // Известия РАН. Сер.: биологическая. 1994. № 5. С. 839–842.
Зибарев А. Г., Розенберг Г. С., Хасаев Г. Р. О «циклах Кондратьева» (к юбилею Николая Дмитриевича Кондратьева: 4 [16] марта 1892 г. – 17 сентября 1938 г.) // Вестник Самарского государственного экономического университета. 2017. № 2(148). С. 5–15.
Капица С. П. Модель роста населения
Земли // Успехи физических наук. 1995.
Т. 26. № 3. С. 111–128.
Капица С. П. Общая теория роста человечества: Сколько людей жило, живет и будет жить на Земле. М. : Наука, 1999.
Ковальчук М. В. Идеология природоподобных технологий. М. : Физматлит, 2021.
Котляков В. М. Сохранение биосферы – основы устойчивого развития общества // Вестник РАН. 1994. Т. 64. № 3. С. 217–220.
Кропоткин П. А. Взаимная помощь как фактор эволюции. СПб. : Изд. тов-ва «Знание», 1907.
Лем С. Сумма технологии = Summa Technologiae. М. : Мир, 1968.
Малков С. Ю. Современная «эпоха перемен»: о российском докладе Римскому клубу // Проектирование будущего. Проблемы цифровой реальности: труды 6-й Международной конференции (2–3 февраля 2023 г., Москва). М. : ИПМ им. М. В. Келдыша, 2023. С. 73–97.
Медоуз Д. Х., Медоуз Д. Л., Рэндерс Й., Беренс В. В.. III. Пределы роста. Доклад по проекту Римского клуба «Сложное положение человечества». М. : МГУ, 1991.
Медоуз Д. Х., Рандерс Й., Медоуз Д. Л. Пределы роста. 30 лет спустя. М. : ИКЦ «Академкнига», 2007. 342 с.).
Моисеев Н. Н. Как далеко до завтрашнего дня… Свободные размышления. 1917–1993. 2-е изд. М. : Экология и жизнь, 2007.
Нанотехнологии как ключевой фактор нового технологического уклада в экономике / под ред. С. Ю. Глазьева и В. В. Харитонова. М. : Тровант, 2009.
Павленко В. Б. Глубинное государство: цели и акторы. Совет по инклюзивному капитализму при Ватикане как легализация структур глобальных элит [Электронный ресурс] : РУССТРАТ. Институт международных политических и экономических стратегий. 2021. 19 сентября. URL: https://russtrat.ru/reports/19-sentyabrya-2021-0010-6164.
Перес К. Технологические революции и финансовый капитал. Динамика пузырей и периодов процветания. М. : Дело, 2011.
Презентация монографии «Преодолевая пределы роста. Доклад Римскому клубу» [Электронный ресурс] : Факультет глобальных процессов. 2024. 3 апреля. URL: https:// fgp.msu.ru/news/309?ysclid=lzjphg74ur297421835.
Преодолевая пределы роста. Основные положения доклада для Римского клуба / под ред. В. А. Садовничего. М. : Изд-во Московского ун-та, 2023.
Ретеюм А. Ю. Опасный миф антропогенного потепления (REGNUM) [Электронный ресурс] : AFTERSHOCK. Каким будет zавтра. 2020. 29 октября. URL: https:// aftershock.news/ ?q=node/917158&full&ysclid=lzeh0pwv13415281540.
Розенберг Г. С. Половозрастные
пирамиды и устойчивое развитие (размышления над
книгой Гуннара Хейнзона) // Поволжский экологический журнал. 2014. № 1.
С. 103–109.
Розенберг Г. С. Конкуренция и
взаимопомощь – две стороны «медали» взаимодействия популяций (к 175-летию со
дня рождения Петра Алексеевича Кропоткина и 115-летию выхода его монографии
«Взаимная помощь как фактор эволюции») // Самарская Лука: проблемы региональной и глобальной
экологии. 2018. Т. 27. № 3.
С. 262–269.
Розенберг Г. С. Системный подход в глобалистике на примере современных социо-эколого-экономических систем // Век глобализации. 2022. № 4(44). C. 28–48.
Розенберг Г. С., Краснощеков Г. П., Гелашвили Д. Б. Мальтус, Циолковский, Котляков и проблемы устойчивого развития и народонаселения // Вестник ДВО РАН. Сер.: биологическая. 1997. № 2. С. 8–12.
Розенберг Г. С., Рянский Ф. Н., Лазарева Н. В. Саксонов С. В., Симонов Ю. В., Хасаев Г. Р. Конспект лекций по общей и прикладной экологии: учеб. пособие. Самара; Тольятти : Изд-во СГЭУ, 2016.
Сахаров А. Д. Мир через полвека. 1972 // Мир, прогресс, права человека. Статьи и выступления. Л. : Сов. писатель, 1990. С. 37–49.
Сколько людей может прокормить Земля? Скоро нас будет восемь миллиардов [Электронный ресурс] : Russian Traveler. 2022. 13 июля. URL: https://rtraveler.ru/planet/ skolko-lyudej-mozhet-prokormit-zemlya-skoro-nas-budet-vosem-milliardov/?ysclid=ly1q3b voth98065694.
Тихонов А. Н. Системы дифференциальных уравнений, содержащие малые параметры при производных // Математический сборник. 1952. Т. 31(73). № 3. С. 575–586.
Хантингтон С. Столкновение цивилизаций. М. : АСТ, 2022.
Хейнзон Г. Европа: конец игры. Чьи дети будут править миром? М. : АСТ, 2020.
Циолковский К. Э. Общественная организация человечества (вычисления и таблицы). Горе и гений. М. : МИП «Память»; ИПЦ РАУ, 1992.
Чумаков А. Н. Ноосфера В. И. Вернадского: философское и естественнонаучное содержание // Вестник Московского университета. 2013. № 1. С. 27–37.
Чумаков А. Н., Штарк Л. П. Римский клуб: к итогам полувековой деятельности // Век глобализации. 2019. № 4. С. 40–49.
Шваб К. Четвертая промышленная революция. М. : ЭКСМО, 2022.
Шеннон Р. Имитационное моделирование систем – искусство и наука. М. : Мир, 1978.
Яковец Ю. В. Глобализация и взаимодействие цивилизаций. М. : Экономика, 2003.
Bartsev S. I., Degermendzhi A. G., Erokhin D. V. Principle of the Worst Scenario in the Modeling Past and Future of Biosphere Dynamics // Ecological Modelling. 2008. Vol. 216. No. 2. Pp. 160–171.
Bremermann H. J. Mathematische Modells von biologischen Systemen // Bulletin de la Société fribourgeoise des sciences naturelles. 1971. Vol. 6. No. 2. S. 112–113.
Bunch B. H., Hellemans A. The History of Science and Technology: a Browser’s Guide to the Great Discoveries, Inventions, and the People Who Made Them, From the Dawn of Time to Today. Boston; New York : Houghton Mifflin Co., 2004.
Foerster H. von, Mora P. M., Amiot L. W. Doomsday: Friday, 13 November, A. D. 2026 // Science. 1960. Vol. 132. No. 3436. Pp. 1291–1295. DOI: 10.1126/science.132.3436. 1291.
Grinin L., Grinin A., Korotayev A. Cybernetic Revolution and Global Aging. Humankind on the Way to Cybernetic Society, or the Next Hundred Years. Cham : Springer, 2024.
Heinsohn G. Söhne und Weltmacht: Terror im Aufstieg und Fall der Nationen. Zürich : Orell Füssli Verlag AG, 2003.
Huntington S. The Clash of Civilizations and the Remaking of World Order. New York : Simon & Schuster, 1996.
Lem S. Summa Technologiae. Kraków : Wydawnictwo Literackie, 1964.
Meadows D. H., Meadows D. L., Randers J., Behrens III W. W. The Limits to Growth. A Report for the Club of Rome's on the Predicament of Mankind. New York : Universe Books, 1972.
Meadows D. H., Meadows D. L., Randers J. Beyond the Limits: Confronting Global Collapse, Envisioning a Sustainable Future. Post Mills, VT : Chelsea Green Publishing Co., 1992.
Meadows
D. H., Randers J., Meadows D. L. Limits to Growth: The 30-Year Update.
A Report to the Club of Rome. London;
Sterling, VA : Earthscan, 2004.
Perez С. Technological Revolutions and Financial Capital: The Dynamics of Bubbles and Golden Ages. Cheltenham; London: Edward Elgar Publ., 2002.
Quito A. Pope Francis is Backing a New Movement to Redefine Capitalism as a Force for Good [Электронный ресурс] : Quartz Media. 2020. December 8. URL: https:// qz.com/work/1942727/pope-francis-backs-the-council-for-inclusive-capitalism.
Randers J. 2052. A Global Forecast for the Next Forty Years. A Report to The Club of Rome. White River Junction, VT : Chelsea Green Publishing, 2012.
Rosenblueth A., Wiener N. The Role of Models in Science // Philosophy of Science. 1945. Vol. 12. No. 4. Pp. 316–321.
Reconsidering the Limits to Growth. A Report to the Russian Association of the Club of Rome / ed. by V. A. Sadovnichy et al. Cham : Springer, 2023.
Schwab K. The Fourth Industrial Revolution. Ginebra : World Economic Forum, 2016.
Weizsäcker E. von, Wijkman A. Come On! Capitalism, Short-Termism, Population and the Destruction of the Planet – a Report to the Club of Rome. New York : Springer, 2018.
[1] Аурелио Печчеи (Aurelio Peccei; 1908–1984) – итальянский экономист, менеджер и общественный деятель, первый президент Римского клуба. Александр Кинг (Alexander King; 1909–2007) – британский химик; на момент основания Клуба был генеральным директором по научным вопросам парижской Организации экономического сотрудничества и развития (ОЭСР; Organisation for Economic Co-operation and Development, OECD) – международной экономической организации развитых стран.
[2] За время существования клуба выпущено 87 докладов (включая восемь докладов за первое полугодие 2024 г.) [von Weizsäcker, Wijkman 2018; https://www.clubofrome.org/publications/].
[3] Ангус Мэддисон (Angus Maddison; 1926–2010) – британский экономист, специализировавшийся на макроэкономической истории.
[4] Если при цитировании указаны только страницы, то они имеют отношение к рецензируемой книге.
[5] В частности, воспроизведение термоядерного синтеза на Земле – это прямая и первая природоподобная технология (эти процессы происходят на Солнце).
[6] Немецкий
социолог и экономист Гуннар Хейнзон (Gunnar Heinsohn; род. 1943) в предисловии
к российскому изданию своей книги [Хейнзон
2020: 6] писал: «Если бы население России в ее современных границах
увеличивалось с такой же скоростью, как численность жителей сектора Газа (240
000 на 1,9 млн человек с 1950 по 2015 г.), то сегодня в Российской Федерации
проживало бы не 142 (после 102 млн в 1950 г.), а 808 млн человек. То есть эта
страна могла бы занять третье место в мире по общей численности населения,
уступая только Китаю и Индии.
В этом случае половина граждан России была бы не старше 15 лет, в то время как
сегодня этот показатель составляет 39 лет».
[7] Так, гиперболический рост численности населения Земли по «старым» данным имеет точку сингулярности, которую отметили в статье с названием «Судный день: пятница, 13 ноября 2026 г. н. э.» [Foerster et al. 1960], – численность человечества должна приблизиться к бесконечности, если оно будет расти так, как росло в последние два тысячелетия (уравнение Судного дня). Но сегодня наши демографические изменения уже не подвластны гиперболическому росту, мы – замедлились…
[8] Среди уже существующих проектов
(фактически реинкарнации тоталитарного общества в кибернетическую эпоху)
назовем «капитализм стейкхолдеров» (stakeholder – компания будущего, в которую должна переродиться
современная компания, принадлежащая акционерам; капитализм всех заинтересованных
сторон; социально ориентированный капитализм [так и хо-
чется добавить – «капитализм с человеческим лицом»…], который якобы всех
обеспечит работой, будет развиваться без погони за прибылью и кризисов, с
заботой о будущих поколениях; то есть капитализм, полностью себя отрицающий [Schwab 2016; Шваб 2022]), и «инклюзивный капитализм» под эгидой Ватикана (Папы Римского [Quito 2020]) – теоретическая концепция и политическое движение,
направленные на создание более справедливой и равноправной системы
распределения ценностей в экономике и решения проблем растущего неравенства в
доходах и благосостоянии; разворот частного сектора к людям в целях создания
«более инклюзивной, устойчивой и надежной экономической системы» [Павленко 2021].
Альтернативный проект будущего W-общества
(с условным названием «Мир-организм»), основанный на примате принципов сотрудничества
над принципами конкуренции, и предлагается в рецензируемой работе [Reconsidering… 2023; Малков
2023].
[9] Как здесь не вспомнить этакий панегирик кибернетике, замечательную книгу «Сумма технологии» [Lem 1964; Лем 1968] польского философа и фантаста С. Лема (Stanisław Herman Lem; 1921–2006), которая в 60-х гг. ХХ в. стала настольной при осмыслении научно-тех-нического прогресса того времени и путей технологического, социального и психологического развития человечества. Прошло почти три поколения, и мы вновь возвращаемся к идеям пятого технологического уклада на новом витке «диалектического штопора» [Нанотехнологии... 2009; Grinin et al. 2024]…
[10] Как уже отмечалось выше (сн. 8), авторы используют для
обозначения кибернетического общества представления о «Мир-организме» или W-обществе
(противопоставляя его Х- [ус-
ловно можно говорить о классическом капитализме] и Y-обществам
[либеральный капитализм], которые меняли друг друга на протяжении последних
десятилетий истории; см. с. 45).
К сожалению, авторы не расшифровали, что значит Х, Y и W в названии
обществ (W, возможно, world; если ничего не значит, это также следовало бы
подчеркнуть).
[11] «Помимо закона Всемирной борьбы, в природе существует еще закон “Взаимной помощи”. <…> Взаимная помощь – такой же естественный закон, как и взаимная борьба, но для прогрессивного развития вида первая несравненно важнее, чем вторая. <…> Можно считать вполне доказанным, что, тогда как борьба за существование одинаково ведет к развитию как прогрессивному, так и регрессивному, практика взаимопомощи представляет силу, всегда ведущую к прогрессивному развитию» [Кропоткин 1907: 4–8; Розенберг 2018: 265].
[12] Алексей Юрьевич Ретеюм (г. р. 1941) – отечественный географ, профессор МГУ, лауреат премии Ленинского комсомола (1973) и Золотой медали им. П. П. Семенова-Тян-Шанского РГО (1992).
[13] Сэмюэл Хантингтон (Samuel Phillips Huntington; 1927–2008) – американский социолог, политолог, автор концепции этнокультурного разделения цивилизаций [Huntington 1996; Хантингтон 2022].
[14] Юрий Владимирович Яковец (род. 1929) – советский и российский экономист; внес существенный вклад в развитие теории и прогнозирования циклов и кризисов (научно-техниче-ских, экологических, образовательных, цивилизационных).